Sinopsis Buku Ilmiah Untuk Guru
Google has many special features to help you find exactly what youre looking for. Ada yang menarik dari novel terbarunya Asma Nadia yang berjudul Nikah tanpa Pacaran ini.
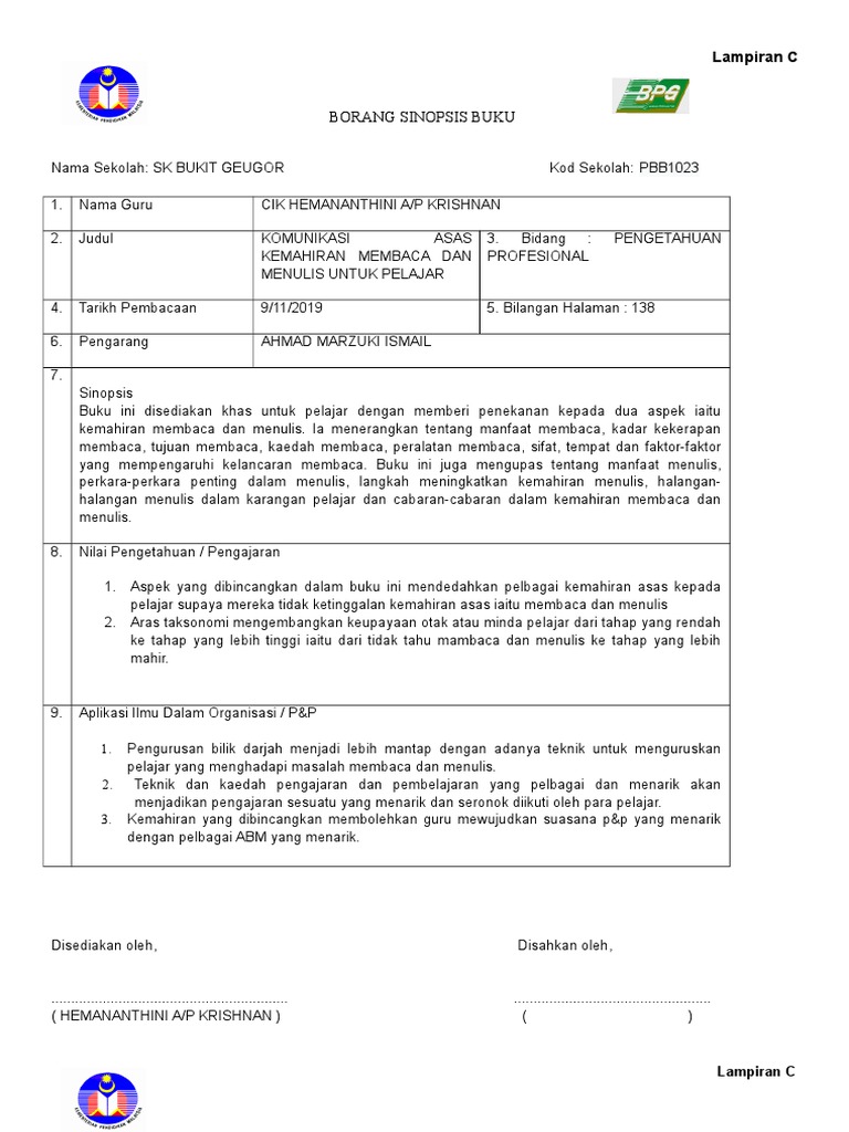
Borang Sinopsis Buku Untuk Guru Pdf
Dalam sinopsis keindahan gaya bahasa iliustrasi dan penjelasan.
. Tujuannya yang paling asasi dari iklim pendidikan di rumah adalah untuk membentuk keluarga agar berpola pikir ilmiah dan dapat mengajak anak berkenalan lebih jauh dengan ilmu pengetahuan. Buku ini disusun agar dapat membantu para mahasiswa guru dosen maupun peneliti untuk memperoleh pemahaman tentang konsep konsep dasar metode penelitian dan dapat menerapkannya dalam. Search the worlds information including webpages images videos and more.
Selanjutnya pada tahun ketiga tujuan penelitian adalah 1 untuk mengembangkan buku cerita bergambar versi digital yang memberikan alternatif pembelajaran IT-based bagi SD yang memiliki fasilitas memadai dan 2 untuk menguji kualitas produk melalui uji ahli dan pengguna. Access Google Drive with a free Google account for personal use or Google Workspace account for business use. Novel yang diterbitkan oleh penerbit Republika pada bulan Desember 2021 ini berkisah tentang gadis desa bernama Aira Humaira yang dipersunting oleh Ken Erhan Ramadhan seorang sutradara muda berparas tampan yang sedang naik daun dan menjadi idola kaum hawa.
Sinopsis Adalah Pengertian Contoh Ciri Langkah Fungsinya DosenPendidikanCom Sinopsis adalah suatu ringkasan cerita atau bentuk pemendekan suatu naskah yang tetap memperhatikan unsur-unsur instrinsiknya seperti tokoh dan penokohan alur amanat gaya bahasa dll. Metode penelitian yang digunakan adalah penelitian dan pengembangan RD. Akan tetapi di sini ada syaratnya yakni orangtua harus memiliki dasar ilmu yang kuat atau paling tidak banyak mengonsumsi bahan bacaan yang sekiranya.
Sinopsis Buku Smktun Flip Ebook Pages 101 150 Anyflip
Contoh Makalah Sederhana Novel Pengetahuan Ilmu Pengetahuan Alam
Maksud Buku Ilmiah Fundacionfaroccr
339548138 Sinopsis Buku Bacaan Ilmiah Guru Nilai Education
339548138 Sinopsis Buku Bacaan Ilmiah
339872720 Contoh Sinopsis Buku Untuk Ladap
Sinopsis Buku Bacaan Ilmiah Pdf
Contoh Resensi Novel Dalam Bahasa Sunda Contoh Resensi Novel Dalam Bahasa Sunda Apalagi Sekarang Ini Membaca Apapun Sangatlah Mudah Novel Resensi Buku Bahasa
339872720 Contoh Sinopsis Buku Untuk Ladap
Contoh Cover Jurnal Skripsi Contoh Cover Jurnal Skripsi Pengertian Dan Contoh Proposal Skripsi Kumpulan Contoh Contoh Advertise Proposal Jurnal Ilmiah Jurnal
Contoh Karya Tulis Guru Berprestasi Contoh Karya Tulis Guru Berprestasi Download Kumpulan Contoh Karya Tulis Ilmiah Sederhana Singkat Guru Tulisan Pengetahuan

0 Response to "Sinopsis Buku Ilmiah Untuk Guru"
Post a Comment